Ο δείκτης μάζας σώματος (πιο γνωστός ως ΔΜΣ) χρησιμοποιείται εδώ και καιρό για να ληφθεί μια γρήγορη και εύκολη εικόνα των επιπέδων σωματικού λίπους ενός ατόμου. Για να υπολογίσετε τον ΔΜΣ κάποιου, διαιρείτε το βάρος του σε κιλά με το ύψος του σε μέτρα επί το ίδιο το ύψος. Ο αριθμός που προκύπτει χρησιμοποιείται για να προσδιοριστεί ο κίνδυνος για την υγεία ενός ατόμου.
Παρόλο που υπάρχουν πολύ καλύτεροι τρόποι για να λάβετε μια ακριβή μέτρηση των επιπέδων σωματικού λίπους ενός ατόμου -όπως η χρήση απορροφησιομετρίας ακτίνων Χ διπλής ενέργειας (Dexa) ή μαγνητικής τομογραφίας (MRI)- αυτές οι μέθοδοι απαιτούν πολύ περισσότερους πόρους. Έτσι ο ΔΜΣ παρέμεινε η βασική μέθοδος μέτρησης της υγείας από τότε που άρχισε να χρησιμοποιείται στα τέλη του 20ού αιώνα. Πολλοί ειδικοί υγείας πιστεύουν ότι ο ΔΜΣ έχει σημαντικούς περιορισμούς, ιδιαίτερα για τα παιδιά και τους νέους (των οποίων τα επίπεδα σωματικού λίπους αλλάζουν καθώς μεγαλώνουν), τους αθλητές (που έχουν υψηλά επίπεδα μυϊκής μάζας) και τα άτομα από εθνοτικές μειονοτικές ομάδες (που μπορεί να αναπτύξουν προβλήματα υγείας σε χαμηλότερα επίπεδα σωματικού λίπους).
Ο ΔΜΣ δεν δημιουργήθηκε ποτέ για χρησιμοποιηθεί στην υγεία. Αναπτύχθηκε χρησιμοποιώντας δεδομένα από Ευρωπαίους τον 19ο αιώνα. Παρόλο που έχουν προταθεί ΔΜΣ προσαρμοσμένος ανάλογα με το παιδί και την εθνικότητα και εναλλακτικές αναλογίες ύψους και βάρους, καμία δεν έχει σημειώσει επαρκή πρόοδο για να βελτιώσει τη φήμη του ΔΜΣ.
Έχουν επίσης προταθεί αρκετές εναλλακτικές λύσεις για τον ΔΜΣ – όπως η χρήση της αναλογίας μέσης προς ισχία (περιφέρεια μέσης διαιρούμενη με την περιφέρεια ισχίων) ή του δείκτη όγκου σώματος (ο οποίος χρησιμοποιεί τρισδιάστατους σαρωτές σώματος για την εκτίμηση της συνολικής κατανομής σωματικού λίπους).
Ωστόσο, μια πρόσφατη μελέτη υποδηλώνει ότι αντί για τον ΔΜΣ, θα πρέπει να χρησιμοποιούμε κάτι που ονομάζεται Δείκτης Στρογγυλότητας Σώματος (BRI: body roundness index) για να έχουμε μια πιο ακριβή εικόνα των επιπέδων σωματικού λίπους ενός ατόμου και να προβλέψουμε τον κίνδυνο για την υγεία.
Τι είναι ο δείκτης στρογγυλότητας σώματος;
Ο Δείκτης Στρογγυλότητας Σώματος αναπτύχθηκε από Αμερικανούς ερευνητές το 2013 ως απάντηση στις επικρίσεις για τον ΔΜΣ. Αντί να εξετάζει το ύψος και το βάρος, ο BRI ποσοτικοποιεί μαθηματικά τα επίπεδα σωματικού λίπους εξετάζοντας το ύψος και την περιφέρεια μέσης. Αυτό παρέχει μια τιμή που συνήθως κυμαίνεται από το ένα έως το 20. Οι περισσότεροι επιστήμονες, λοιπόν, συμφωνούν ότι τα φυσιολογικά όρια είναι μεταξύ 3 και 7. Οι χαμηλότερες και υψηλότερες τιμές είναι αυτές που υποδηλώνουν τον υψηλότερο κίνδυνο για την υγεία.
Πολλές μελέτες έχουν δείξει ότι ο Δείκτης Στρογγυλότητας Σώματος μπορεί να είναι καλύτερος από τον ΔΜΣ στην πρόβλεψη των κινδύνων για την υγεία που σχετίζονται με διαφορετικά επίπεδα σωματικού λίπους. Αυτό περιλαμβάνει την πρόβλεψη του κινδύνου ασθενειών που σχετίζονται με το βάρος, όπως καρδιαγγειακές παθήσεις, διαβήτη, νεφρική νόσο και καρκίνο, καθώς και θανάτου από οποιαδήποτε αιτία.
Αυτή η τελευταία μελέτη, η οποία εξέτασε 32.995 ενήλικες στις ΗΠΑ μεταξύ 1999 και 2018, διαπίστωσε μια συσχέτιση μεταξύ του BRI και του θανάτου από οποιαδήποτε αιτία. Συγκεκριμένα, βρήκε ότι τα άτομα με τις χαμηλότερες και υψηλότερες βαθμολογίες BRI είχαν τους μεγαλύτερους κινδύνους για την υγεία. Επίσης ότι ο Δείκτης Στρογγυλότητας Σώματος ήταν καλύτερος από τον ΔΜΣ στην ακριβή ανίχνευση αυτού του κινδύνου. Αυτό συμβαίνει επειδή ο BRI λαμβάνει υπόψη το λίπος που συγκρατείται γύρω από την κοιλιά, το οποίο συνδέεται με μεγαλύτερο κίνδυνο προβλημάτων υγείας. Αυτό διαφέρει από τον ΔΜΣ, ο οποίος λαμβάνει υπόψη μόνο το συνολικό βάρος.
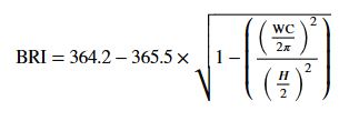
Η εξίσωση για τον υπολογισμό του BRI είναι η εξής:
BRI = 364.2 – 365.5 × √(1 – [περίμετρος μέσης (cm) / 2π]² / [0.5 × ύψος (cm)]²)
ή

Το κύριο πλεονέκτημά του είναι ότι αποκαλύπτει την κατανομή του λίπους. Δύο άτομα μπορεί να έχουν το ίδιο βάρος, αλλά αυτός με την “κοιλιά” (μήλο) έχει πολύ μεγαλύτερο κίνδυνο από αυτόν με κατανομή λίπους στους γλουτούς (αχλάδι). Σε αθλητές ή μυώδη άτομα, ο ΔΜΣ τους κατατάσσει συχνά ως “υπέρβαρους”, ενώ ο BRI, βλέποντας τη λεπτή μέση, τους κατατάσσει σωστά ως αδύνατους. Έχει ακρίβεια σε διαφορετικές εθνικότητες. Φαίνεται να έχει σταθερή συσχέτιση με το σπλαχνικό λίπος σε διάφορες εθνοτικές ομάδες (π.χ., Κινέζους, Μαλαισιανούς, Νοτιοασιάτες), κάτι που ο ΔΜΣ συχνά αδυνατεί να κάνει.
Παρά τα πλεονεκτήματα, ο BRI δεν είναι τέλειο εργαλείο και έχει τα δικά του προβλήματα. Δεν είναι καλύτερος από απλούστερες μετρήσεις: Αυτό είναι το σημαντικότερο εύρημα. Παρόλο που ο BRI συσχετίζεται ισχυρά με το σπλαχνικό λίπος, δεν τα πάει καλύτερα από πιο απλές μετρήσεις, όπως η απλή περίμετρος μέσης ή το ποσοστό σωματικού λίπους . Μια μελέτη του 2025 στο PubMed κατέληξε ότι ο BRI “δεν υπερτερεί των απλούστερων μετρήσεων”. Αν δηλαδή ήδη μετράτε τη μέση σας, ο BRI δεν προσθέτει κάτι δραματικά νέο. Ο BRI δεν κάνει διάκριση μεταξύ ανδρών και γυναικών, αν και οι γυναίκες έχουν φυσιολογικά διαφορετική κατανομή λίπους (περισσότερο στους γλουτούς) . Έτσι, μια γυναίκα με μεγάλους γλουτούς αλλά λεπτή μέση μπορεί να έχει καλό BRI, αλλά ο δείκτης δεν αποτυπώνει πλήρως την εικόνα. Όπως και ο ΔΜΣ, ο BRI είναι μια έμμεση εκτίμηση. Δεν μετράει άμεσα το λίπος. Δυστυχώς, δεν υπάρχουν φθηνοί τρόποι για να μετρήσεις τη σύσταση σώματος. Όλες οι έμμεσες μετρήσεις είναι εξισώσεις που ταιριάζουν καλά στους πληθυσμούς, αλλά αποτυγχάνουν σε ατομικό επίπεδο.
Δεδομένου ότι ο Δείκτης Στρογγυλότητας Σώματος απαιτεί μόνο μια μεζούρα και μια μαθηματική εξίσωση, αυτό σημαίνει ότι είναι τόσο εύκολος στη χρήση και προσβάσιμος όσο και ο ΔΜΣ. Αλλά υποθέτοντας ότι ο BRI μετριέται με το χέρι, παραμένει εξίσου επιρρεπής σε ανθρώπινο λάθος όπως και ο BMI.
Μια μελέτη διαπίστωσε ακόμη ότι οκτώ στους δέκα εκπαιδευμένους επαγγελματίες υγείας επέδειξαν τόσο υψηλά επίπεδα ανθρώπινου σφάλματος κατά τη χειροκίνητη μέτρηση της κοιλιάς που δεν παρατήρησαν μια αύξηση 3 εκατοστά τη δεύτερη φορά που έκαναν τη μέτρηση. Αυτό το περιθώριο σφάλματος πιθανότατα θα είναι ακόμη υψηλότερο σε άτομα που λαμβάνουν τις δικές τους μετρήσεις στο σπίτι.
Ως νέα μέτρηση, ο BRI δεν διαθέτει ακόμη το είδος των εκτεταμένων δεδομένων που υποστηρίζουν τη χρήση του που υπάρχουν για τον BMI. Αυτό καθιστά πιο δύσκολο να γνωρίζουμε πόσο αποτελεσματικό και αξιόπιστο είναι σε σύγκριση με αυτές τις πιο καθιερωμένες μεθόδους.
Και όπως ο ΔΜΣ, ο BRI είναι ένα σύνθετο μέτρο -που σημαίνει ότι συνδυάζει πολλαπλές πολύ σχετικές μετρήσεις σε έναν μόνο δείκτη. Αυτό καθιστά πολύ δύσκολο να αποσαφηνιστεί ο αντίκτυπος που μπορούν να έχουν διαφορετικά επίπεδα σωματικού λίπους στην υγεία -και μπορεί να οδηγήσει σε παραπλανητικές ερμηνείες των αποτελεσμάτων.
Ενώ ο Δείκτης Στρογγυλότητας Σώματος μπορεί να βελτιώσει ορισμένες από τις αδυναμίες του ΔΜΣ, δεν είναι άτρωτος σε λανθασμένη ταξινόμηση. Για παράδειγμα, άτομα με υψηλή μυϊκή μάζα ενδέχεται να εξακολουθούν να αντιμετωπίζουν ανακρίβειες στις αξιολογήσεις κινδύνου για την υγεία τους, εάν η κατανομή του σωματικού λίπους τους δεν συμμορφώνεται με τα «τυπικά» πρότυπα γύρω από την κοιλιά. Η έρευνα δείχνει επίσης ότι η ακρίβεια του BRI στην πρόβλεψη των κινδύνων για την υγεία μπορεί να ποικίλλει ανάλογα με την εθνικότητα, την ηλικία και το φύλο ενός ατόμου.
Ο BRI σίγουρα αντιπροσωπεύει μια πρόοδο στην αναζήτηση μιας πιο ακριβούς εναλλακτικής λύσης για τον ΔΜΣ, εστιάζοντας περισσότερο στο σχήμα του σώματος και την κατανομή του λίπους παρά μόνο στο μέγεθος του σώματος. Αλλά εξακολουθεί να έχει τους περιορισμούς του. Σίγουρα δεν είναι ο απόλυτος αντικαταστάτης του ΔΜΣ.
Ίσως ένας ακόμη καλύτερος τρόπος για να αποκτήσετε μια εικόνα της υγείας ενός ατόμου είναι η χρήση τρισδιάστατης απεικόνισης της επιφάνειας του σώματος. Αυτό δημιουργεί μια ψηφιακή τρισδιάστατη εικόνα του ανθρώπινου σώματος σε κλίμακα, η οποία επιτρέπει στους επαγγελματίες υγείας να εξερευνήσουν όλες τις πιθανές υπάρχουσες μετρήσεις σώματος, συμπεριλαμβανομένου τόσο του BRI όσο και του BMI, καθώς και να μας επιτρέψει να εξερευνήσουμε νέες ψηφιακές εναλλακτικές λύσεις. Αλλά ανεξάρτητα από το ποιο μέτρο σώματος μπορείτε να χρησιμοποιήσετε εσείς ή ένας γιατρός για να αξιολογήσετε την υγεία σας, είναι σημαντικό να θυμάστε ότι κάθε άτομο είναι μοναδικό και τα σώματά μας διατίθενται – και θα έπρεπε – πάντα σε μια μεγάλη ποικιλία σχημάτων και μεγεθών.

























